domingo, 13 de marzo de 2011

Electromagnetismo

Electromagnetismo



Ferrofluido que se agrupa cerca de los polos de un magnetopoderoso.
El electromagnetismo es una rama de la Física que estudia y unifica los fenómenos eléctricos y magnéticos en una sola teoría, cuyos fundamentos fueron sentados por Michael Faraday y formulados por primera vez de modo completo por James Clerk Maxwell. La formulación consiste en cuatroecuaciones diferenciales vectoriales que relacionan el campo eléctrico, elcampo magnético y sus respectivas fuentes materiales (corriente eléctrica,polarización eléctrica y polarización magnética), conocidas comoecuaciones de Maxwell.
El electromagnetismo es una teoría de campos; es decir, las explicaciones y predicciones que provee se basan en magnitudes físicas vectoriales otensoriales dependientes de la posición en el espacio y del tiempo. El electromagnetismo describe los fenómenos físicos macroscópicos en los cuales intervienen cargas eléctricas en reposo y en movimiento, usando para ello campos eléctricos y magnéticos y sus efectos sobre las sustancias sólidas, líquidas y gaseosas. Por ser una teoría macroscópica, es decir, aplicable sólo a un número muy grande de partículas y a distancias grandes respecto de las dimensiones de éstas, el Electromagnetismo no describe los fenómenos atómicos y moleculares, para los que es necesario usar la Mecánica Cuántica.
El electromagnetismo considerado como fuerza es una de las cuatro fuerzas fundamentales del universo actualmente conocido.
 Historia
Desde la antigua Grecia se conocían los fenómenos magnéticos y eléctricos pero no es hasta inicios del siglo XVII donde se comienza a realizar experimentos y a llegar a conclusiones científicas de estos fenómenos.1 Durante estos dos siglos, XVII y XVIII, grandes hombres de ciencia como William Gilbert, Otto von Guericke, Stephen Gray, Benjamin Franklin, Alessandro Volta entre otros estuvieron investigando estos dos fenómenos de manera separada y llegando a conclusiones coherentes con sus experimentos.


Michael Faraday.
A principios del siglo XIX Hans Christian Ørsted encontró evidencia empírica de que los fenómenos magnéticos y eléctricos estaban relacionados. De ahí es que los trabajos de físicos como André-Marie Ampère, William Sturgeon,Joseph Henry, Georg Simon Ohm, Michael Faraday en ese siglo, son unificados por James Clerk Maxwell en 1861 con un conjunto de ecuaciones que describían ambos fenómenos como uno solo, como un fenómeno electromagnético.1


James Clerk Maxwell.
Las ahora llamadas ecuaciones de Maxwell demostraban que los campos eléctricos y los campos magnéticos eran manifestaciones de un solo campo electromagnético. Además describía la naturaleza ondulatoria de la luz, mostrándola como una onda electromagnética.2Con una sola teoría consistente que describía estos dos fenómenos antes separados, los físicos pudieron realizar varios experimentos prodigiosos e inventos muy útiles como la bombilla eléctrica por Thomas Alva Edison o el generador de corriente alterna por Nikola Tesla.3 El éxito predicitivo de la teoría de Maxwell y la búsqueda de una interpretación coherente de sus implicaciones, fue lo que llevó a Albert Einstein a formular su teoría de la relatividad que se apoyaba en algunos resultados previos de Hendrik Antoon Lorentz y Henri Poincaré.
En la primera mitad del siglo XX, con el advenimiento de la mecánica cuántica, el electromagnetismo tenía que mejorar su formulación con el objetivo de que fuera coherente con la nueva teoría. Esto se logró en la década de 1940 cuando se completó una teoría cuántica electromagnética o mejor conocida como electrodinámica cuántica.
Electrostática



Un electroscopio usado para medir la carga eléctrica de un objeto.
Cuando hablamos de electrostática nos referimos a los fenómenos que ocurren debido a una propiedad intrínseca y discreta de la materia, la carga, cuando es estacionaria o no depende del tiempo. La unidad de carga elemental, es decir, la más pequeña observable, es la carga que tiene el electrón.4 Se dice que un cuerpo está cargado eléctricamente cuando tiene exceso o falta de electrones en los átomos que lo componen. Por definición el defecto de electrones se la denomina carga positiva y al exceso carga negativa.5 La relación entre los dos tipos de carga es de atracción cuando son diferentes y de repulsión cuando son iguales.
La carga elemental es una unidad muy pequeña para cálculos prácticos, es por eso que en elsistema internacional a la unidad de carga eléctrica, el culombio, se le define como la cantidad de carga de 6,25 x 1018 electrones.4 El movimiento de electrones por un conductor se denominacorriente eléctrica y la cantidad de carga eléctrica que pasa por unidad de tiempo se la define como intensidad de corriente. Se pueden introducir más conceptos como el de diferencia de potencial o el de resistencia, que nos conduciría ineludiblemente al área de circuitos eléctricos, y todo eso se puede ver con más detalle en el artículo principal.
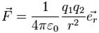
El nombre de la unidad de carga se debe a Coulomb quien en 1785 llegó a una relación matemática de la fuerza eléctrica entre cargas puntuales, que ahora se la conoce como ley de Coulomb:


Entre dos cargas puntuales   y   existe una fuerza de atracción o repulsión   que varía de acuerdo al cuadrado de la distancia   entre ellas y de dirección radial  ; y   es una constante conocida como permitividad eléctrica.
Las cargas elementales al no encontrarse solas se las debe tratar como una distribución de ellas. Es por eso que debe implementarse el concepto de campo, definido como una región del espacio donde existe una magnitud escalar o vectorial dependiente o independiente deltiempo. Así el campo eléctrico   está definido como la región del espacio donde actúan las fuerzas eléctricas. Su intensidad se define como el límite al que tiende la fuerza de una distribución de carga sobre una carga positiva que tiende a cero, así:


Campo eléctrico de cargas puntuales.

Y así finalmente llegamos a la expresión matemática que define el campo eléctrico:

Es importante conocer el alcance de este concepto de campo eléctrico, éste nos brinda la oportunidad de conocer cuál es su intensidad y qué ocurre con una carga en cualquier parte de dicho campo sin importar el desconocimiento de qué lo provoca.6
Una forma de obtener qué cantidad de fuerza eléctrica pasa por cierto punto o superficie del campo eléctrico es que se ideó el concepto de flujo eléctrico. Este flujo eléctrico Φ se define como la suma de la cantidad de campo que atraviesa un área determinada

El matemático y físico, Carl Friedrich Gauss, demostró que la cantidad de flujo eléctrico en un campo es igual al cociente de la carga encerrada por la superficie en la que se calcula el flujo,  , y la permitividad eléctrica, . Esta relación se conoce como ley de Gauss:


Magnetostática

Líneas de fuerza de una barra magnética.
No fue sino hasta el año de 1820, cuando Hans Christian Ørsted descubrió que el fenómeno magnético estaba ligado al eléctrico, que se obtuvo una teoría científica para el magnetismo.7 La presencia de una corriente eléctrica, o sea, de un flujo de carga debido a una diferencia de potencial, genera una fuerza magnética que no varía en el tiempo. Si tenemos una carga a una velocidad  , ésta generará uncampo magnético   que es perpendicular a la fuerza magnética inducida por el movimiento en ésta corriente



Para determinar el valor de ese campo magnético, Jean Baptiste Biot en 1820,8dedujo una relación para corrientes estacionarias, ahora conocida como ley de Biot-Savart:



Donde   es un coeficiente de proporcionalidad conocido como permeabilidad magnética,   es la intensidad de corriente, el   es el diferencial de longitud de la corriente y   es la dirección de la corriente. De manera más estricta,   es la inducción magnética, dicho en otras palabras, es el flujo magnético por unidad de área. Experimentalmente se llegó a la conclusión que las líneas de fuerza de campos magnéticos eran cerradas, eliminando la posibilidad de un monopolo magnético. La relación matemática se la conoce como ley de Gauss para el campo magnético:

Además en la magnetostática existe una ley comparable a la de Gauss en la electrostática, la ley de Ampère. Ésta ley nos dice que la circulación en un campo magnético es igual a la densidad de corriente que exista en una superficie cerrada:

Cabe indicar que esta ley de Gauss es una generalización de la ley de Biot-Savart. Además que las fórmulas expresadas aquí son para cargas en el vacío, para más información consúltese los artículos principales.
Electrodinámica clásica
Hasta el momento se han estudiado los campos eléctricos y magnéticos que no varían con el tiempo. Pero los físicos a finales del siglo XIXdescubrieron que ambos campos estaban ligados y así un campo eléctrico en movimiento, una corriente eléctrica que varíe, genera un campo magnético y un campo magnético de por si implica la presencia de un campo eléctrico. Entonces, lo primero que debemos definir es la fuerza que tendría una partícula cargada que se mueva en un campo magnético y así llegamos a la unión de las dos fuerzas anteriores, lo que hoy conocemos como la fuerza de Lorentz:

Entre 1890 y 1900 Liénard y Wiechert calcularon el campo electromagnético asociado a cargas en movimiento arbitrario, resultado que se conoce hoy como potenciales de Liénard-Wiechert.
Por otro lado, para generar una corriente eléctrica en un circuito cerrado debe existir una diferencia de potencial entre dos puntos delcircuito, a ésta diferencia de potencial se la conoce como fuerza electromotriz o fem. Ésta fuerza electromotriz es proporcional a la rapidez con que el flujo magnético varía en el tiempo, esta ley fue encontrada por Michael Faraday y es la interpretación de la inducción electromagnética, así un campo magnético que varía en el tiempo induce a un campo eléctrico, a una fuerza electromotriz. Matemáticamente se representada como:

En un trabajo del físico James Clerk Maxwell de 1861 reunió las tres ecuaciones anteriormente citadas, y  e introdujo el concepto de una corriente de desplazamiento como una densidad de corriente efectiva y llegó a la última de las ecuaciones, la ley de Ampère generalizada (5), ahora conocidas como ecuaciones de Maxwell:

Las cuatro ecuaciones, tanto en su forma diferencial como en la integral aquí descritas, fueron las revisiones hechas por Oliver Heaviside. Pero el verdadero poder de éstas ecuaciones, más la fuerza de Lorentz , se centra en que juntas son capaces de describir cualquier fenómeno electromagnético, además de las consecuencias físicas que posteriormente se describirán.


Esquema de una onda electromagnética.
La genialidad del trabajo de Maxwell es que sus ecuaciones describen un campo eléctrico que va ligado inequívocamente a un campo magnético perpendicular a éste y a la dirección de su propagación, éste campo es ahora llamado campo electromagnético.10 Además la solución de éstas ecuaciones permitía la existencia de una onda que se propagaba a la velocidad de la luz, con lo que además de unificar los fenómenos eléctricos y magnéticos la teoría formulada por Maxwell predecía con absoluta certeza los fenómenos ópticos.
Así la teoría predecía a una onda que, contraria a las ideas de la época, no necesitaba un medio de propagación; la onda electromagnéticase podía propagar en el vacío debido a la generación mutua de los campos magnéticos y eléctricos. Esta onda a pesar de tener una velocidad constante, la velocidad de la luz c, puede tener diferente longitud de onda y consecuentemente dicha onda transporta energía. Laradiación electromagnética recibe diferentes nombres al variar su longitud de onda, como rayos gamma, rayos X, espectro visible, etc.; pero en su conjunto recibe el nombre de espectro electromagnético.

Espectro electromagnético.



GUILLERMO ALEXANDER HERRERA RODRIGUEZ CI:83636459
0244706T - ELECTRÓNICA DEL ESTADO SOLIDO SECC:01

No hay comentarios:

Publicar un comentario